The cut-off marks for the SSC CPO Paper 1 Examination held for the recruitment of Sub-Inspectors in Delhi Police and CAPFs have been released on 30th March 2026. The cut off marks have been released category-wise for both males & females separately. Candidates can now check their cut off marks from the SSC official website or from the article. Through the exam, a total of 5308 vacancies will be recruited for Sub Inspector (Executive) in Delhi Police and Sub Inspector (General Duty) in CAPFs.
SSC CPO Cut Off 2025-26 Out
SSC CPO 1st stage of CBT exam was held from 9th to 12th December 2025, for which SSC CPO Result 2026 has been released along with its cut off marks. As per the SSC CPO Write Up Notice, a total of 48615 candidates have scored equal to or more than the minimum SSC CPO Cut Off 2025-26 and declared qualified in the CBT exam and shortlisted for the Physical Endurance Test(PET)/ Physical Standard Test (PST).
SSC CPO Paper 1 Cut Off 2026
The SSC CPO cut-off marks are the minimum required marks that the candidates need to score to qualify for each stage of recruitment. The cut-off marks are decided based on the number of candidates who appeared in the exam, exam difficulty, and vacancies released for Sub Inspector
| SSC CPO Cut Off 2026 [Female Candidates] | ||
| Category | Cut Off Marks | Candidates Available |
| UR | 128.01610 | 743 |
| OBC | 124.22057 | 1601 |
| SC | 100.91972 | 867 |
| ST | 95.19641 | 426 |
| EWS | 126.55856 | 660 |
| ESM | 40.00000 | 23 |
| Total | 4320 | |
| SSC CPO Cut Off 2026 [Male Candidates] | ||
| Category | Cut Off Marks | Candidates Available |
| UR | 119.47517 | 4975 |
| OBC | 115.02519 | 15858 |
| SC | 88.95164 | 9518 |
| ST | 89.06234 | 4771 |
| EWS | 114.60115 | 6678 |
| ESM | 40.00000 | 2267 |
| Total | 44067 | |
| SSC CPO Cut Off 2026 [Male Departmental of Delhi Police] | ||
| Category | Cut Off Marks | Candidates Available |
| UR | 127.92622 | 46 |
| OBC | 116.64021 | 86 |
| SC | 101.67331 | 46 |
| ST | 94.89506 | 24 |
| EWS | 120.78203 | 26 |
| ESM | -- | -- |
| Total | 228 | |
SSC CPO Tier 1 Write Up 2026 - Click to Check
SSC CPO Result 2025-26 Out - Click to Check
SSC CPO Previous Year Cut Off
There are 4 stages in the SSC CPO Exam - Paper 1, PST/PET, Paper 2, and the Medical round. Appearing and qualifying in all these stages is compulsory to get recruited. SSC CPO Previous Year Cut-Off marks are helpful for the students who are preparing for the upcoming SSC CPO Exams. Go through the section below to have an overview of the SSC CPO Previous Year Cut Off for the years 2024, 2023, 2022, 2020, 2019, 2018, 2017, 2016, 2015, and 2014 that have been released by the commission officially after each phase of the SSC CPO Examination.
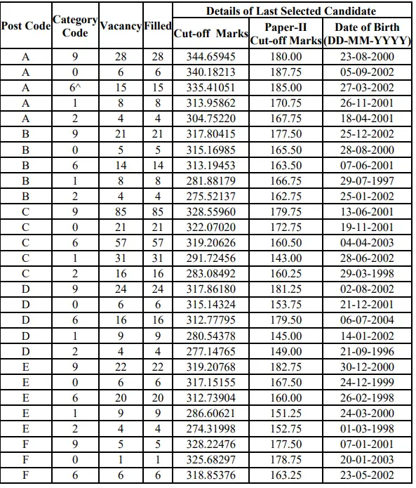
SSC CPO Final Cut Off 2024-25 for Female Candidates

SSC CPO Final Cut Off 2024-25 for Male Candidates


SSC CPO Final Write Up 2025 - Click to Check
SSC CPO Paper 1 Cut Off 2024
SSC released the SSC CPO Cut Off for the Paper 1 exam along with the SSC CPO Result 2024. The SSC CPO Cut-Off 2024 has been released separately for male & female candidates. The official cut-off marks are also updated here as released officially.
| SSC CPO Cut Off 2024 [Female Candidates] | ||
| Category | Cut Off Marks | Candidates Available |
| SC | 106.75022 | 1428 |
| ST | 98.10614 | 700 |
| ESM | 42.69427 | 42 |
| OBC | 128.64348 | 2748 |
| EWS | 127.40295 | 1087 |
| UR | 135.27003 | 1330 |
| Total | 7335 | |
| SSC CPO Cut Off 2024 [Male Candidates] | ||
| Category | Cut Off Marks | Candidates Available |
| SC | 89.85810 | 16256 |
| ST | 82.65680 | 8176 |
| ESM | 40.07024 | 3185 |
| OBC | 113.50911 | 28545 |
| EWS | 111.43520 | 11668 |
| UR | 119.80335 | 8448 |
| Total | 76278 | |
| SSC CPO Cut Off 2024 [Male Departmental Candidates of Delhi Police] | ||
| Category | Cut Off Marks | Candidates Available |
| SC | 96.85972 | 45 |
| ST | 88.19063 | 20 |
| OBC | 125.06044 | 65 |
| EWS | 109.17362 | 25 |
| UR | 134.59289 | 33 |
| Total | 188 | |
SSC CPO Paper 1 Cut Off 2023
The SSC CPO Cut Off 2023 has been released along with the SSC CPO Tier 1 Result 2023. The candidates can check the category-wise SSC CPO Paper 1 Cut Off 2023 which has been released officially from the below table. SSC CPO Cut off marks are released separately for males and females candidates.
| Category | SSC CPO 2023 Male Cut Off | SSC CPO 2023 Female Cut Off | ||
| Cut Off | Candidates Available | Cut Off | Candidates Available | |
| SC | 110.85759 | 5671 | 115.22565 | 559 |
| ST | 109.53493 | 2795 | 109.98635 | 223 |
| ESM | 40 | 3265 | -- | -- |
| OBC | 131.90742 | 9775 | 137.19433 | 950 |
| EWS | 133.92148 | 4195 | 138.99649 | 410 |
| UR | 138.99649 | 2932 | 143.83082 | 465 |
| Total | -- | 28633 | -- | 2607 |
SSC CPO Final Cut Off 2023
Staff Selection Commission with the release of the final result for SSC CPO 2023 exam has announced category-wise SSC CPO Final Cut Off 2023. SSC released category-wise cut off marks separately for male and female candidates. The candidates can check the final cut off marks from here as released officially.
SSC CPO Final Cut Off 2023 for Male Candidates

SSC CPO Final Cut Off 2023 for Female Candidates

SSC CPO Tier 1 Cut-Off 2022
The SSC CPO cut-off for the paper 1 examination has been released along with the SSC CPO Result 2022. SSC CPO Cut-Off has been released separately for male and female candidates category-wise. The official SSC CPO Cut-Off 2022 is updated here as released officially.
SSC CPO Cut Off 2022-23 (Paper 1)
| Category | SSC CPO 2022 Male Cut Off | SSC CPO 2022 Female Cut Off | ||
| Cut Off | Candidates Available | Cut Off | Candidates Available | |
| SC | 79.31 | 13788 | 95.73 | 938 |
| ST | 78.13 | 7254 | 88.60 | 468 |
| ESM | 40 | 3684 | -- | -- |
| OBC | 102.96 | 23319 | 118.22 | 1582 |
| EWS | 103.97 | 9313 | 120.67 | 620 |
| UR | 115.04 | 6587 | 126.29 | 811 |
| Total | -- | 63945 | -- | 4419 |
SSC CPO Tier 2 Cut-Off 2022
SSC CPO 2023 Tier 2 exam was conducted on 02nd May 2023 across the country and the SSC CPO Tier 2 Cut Off is released along with the SSC CPO Tier 2 Result 2023. We have tabulated below the SSC CPO Tier 2 Cut-Off 2023 for the candidates who are qualified for the Medical Examination.
| Category | SSC CPO 2022 Male Cut Off | SSC CPO 2022 Female Cut Off | ||
| Cut Off | Candidates Available | Cut Off | Candidates Available | |
| SC | 121.69 | 1828 | 157.33 | 172 |
| ST | 123.52 | 1319 | 158.27 | 110 |
| ESM | 81.42 | 1602 | -- | -- |
| OBC | 154.46 | 4734 | 203.73 | 382 |
| EWS | 160.82 | 2248 | 222.93 | 198 |
| UR | 252.69 | 1452 | 288.45 | 183 |
| Total | -- | 13183 | -- | 1045 |
SSC CPO Final Cut Off 2022
The Staff Selection Commission has released SSC CPO Final Cut Off 2022-23 along with SSC CPO Final Result. The candidates can check the category-wise SSC CPO Final Cut Off marks as prepared by SSC. Click on the below link to check the category-wise cut off marks.
SSC CPO Final Cut Off 2022-23 pdf- Click to Check
SSC CPO Cut Off 2020-21
The SSC CPO cut-off marks for the 2020-21 exam for both Female Male candidates have been tabulated below.
SSC CPO Cut Off 2020-21 (Paper 1)
| Category | SSC CPO 2021 Male Cut Off | SSC CPO 2021 Female Cut Off | ||
| Cut Off | Candidates Available | Cut Off | Candidates Available | |
| SC | 84.31609 | 4781 | 90.37392 | 433 |
| ST | 83.54368 | 2473 | 85.50919 | 186 |
| ESM | 40.00 | 2909 | -- | -- |
| OBC | 107.93953 | 7908 | 113.06972 | 663 |
| EWS | 76.40961 | 3409 | 87.9124 | 319 |
| UR | 114.67434 | 4482 | 118.38628 | 628 |
| Total | -- | 25962 | -- | 2239 |
SSC CPO Cut Off 2020-21 (Paper 1 + 2)
| Category | SSC CPO Final Cut Off 2020-21 for Males | SSC CPO Final Cut Off 2020-21 for Females | ||
| Cut-off Marks (Paper-I + Paper-II) | Candidates Available | Cut-off Marks (Paper-I + Paper-II) | Candidates Available | |
| SC | 129.19381 | 485 | 155.38100 | 59 |
| ST | 135.08361 | 398 | 175.78553 | 38 |
| ESM | 81.73154 | 756 | -- | -- |
| OBC | 178.32090 | 1202 | 227.47302 | 151 |
| EWS | 129.06660 | 780 | 222.26934 | 72 |
| UR | 250.45154 | 700* | 279.60209 | 113* |
| Total | ----- | 4321 | ----- | 433 |
SSC CPO Cut-Off 2019
SSC CPO Paper-I Cut Off 2019
For Male Candidates
| Category | SC | ST | EMS | OBC | EWS | UR | Total |
|---|---|---|---|---|---|---|---|
| Cut Off | 70.67 | 74.54 | 40.00 | 91.28 | 86.95 | 101.19 | —- |
| Number of Candidates | 8282 | 4403 | 3292 | 14658 | 5314 | 5939* | 41888 |
For Female Candidates
| Category | SC | ST | OBC | EWS | UR | Total |
|---|---|---|---|---|---|---|
| Cut Off | 75.45 | 73.59 | 97.78 | 91.72 | 104.12 | —- |
| Selected Candidates | 892 | 420 | 1302 | 531 | 890* | 4035 |
Male Departmental Candidates (Delhi Police) Cut Off
| Category | SC | ST | OBC | EWS | UR | Total |
|---|---|---|---|---|---|---|
| Cut Off | 70.67 | 74.54 | 91.28 | # | 101.19 | —- |
| Candidates | 90 | 59 | 172 | 15 | 54* | 390 |
Male Specialized Category of Ex-Serviceman (Delhi Police) Cut Off
| Category | SC | ST | OBC | EWS | UR | Total |
|---|---|---|---|---|---|---|
| Cut Off | 65.89 | 40.00 | 83.58 | # | 91.02 | —- |
| Candidates | 20 | 08 | 40 | 03 | 52* | 123 |
SSC CPO Cut Off 2018
The SSC CPO cut off paper II for the 2018 exam (Female/Male candidates open vacancies) are as follows:
| Category | Female Cut off (Paper I & Paper-II) | Male Cut off (Paper I & Paper-II) |
| SC | 223.26 | 190.02 |
| ST | 207.46 | 169.03 |
| OBC | 258.38 | 196.50 |
| UR | 286.81 | 300.15 |
SSC CPO Cut Off for Departmental Candidates (Male) and Specialized Categories of Ex-Servicemen (Male) in Delhi Police.
SSC CPO Cut Off 2018 Paper I and Paper II
| Category | Departmental Candidates (Male) Delhi Police | Specialized Categories of Ex-Servicemen (Male) Delhi Police |
| SC | 166.85 | 105.24 |
| ST | 180.77 | – |
| OBC | 246.37 | 146.79 |
| UR | 278.74 | 240.01 |
SSC CPO Cut Off Female Candidates (Previous Year SSC CPO Cut Off Paper I 2017, 2016, 2015, 2014)
| Category | 2017 | 2016 | 2015 | 2014 |
| General | 112.5 | 83.5 | 83 | 81.85 |
| OBC | 97.75 | 69.5 | 70.75 | 68 |
| SC | 84.75 | 60.25 | 62 | 61 |
| ST | 81 | 58.25 | 60 | 54 |
| Ex-Servicemen | – | 30 | – | – |
SSC CPO Cut Off Male Candidates (Previous Year SSC CPO Cut Off 2017, 2016, 2015, 2014)
| Category | 2017 | 2016 | 2015 | 2014 |
| General | 117.25 | 89.75 | 88.25 | 85 |
| OBC | 102 | 77 | 74 | 70 |
| SC | 90.25 | 67.75 | 68 | 63.25 |
| ST | 90 | 67.25 | 65 | 59.25 |
| Ex-Servicemen | 43 | 30 | 63 | 40 |
